Swear It Off: What Does Taylor Swift's 'The Life of a Showgirl' Tell Us About American Use of Swear Words?

Please be advised that this blog post includes multiple instances of profanity. Topical hazard, I think. It was incredibly hard to write a blog post about swearing without, you know, swearing.
I sometimes reflect on the length of time that has passed since I last experienced a day without employing profanity. For me, I imagine it’s been a course of many years. I also imagine that timeline is similar for many of you reading this post. I even remember losing my voice in 11th grade due to a week-long bout with pneumonia; even then, I still managed to find a way to utter an unprofessional four-letter word.
I will not cloak myself in disingenuous disappointment. I’ve always found this notion of “bad words” and “good words” to be comical (at best) and downright pathetic (at worst). How does one decide what is or is not a “bad word?”
It’s especially peculiar because there is absolutely nothing inherently bad about any word. Compare a word and a tree. The tree inherently — by nature — produces oxygen and consumes carbon dioxide; the word was not “born” good or bad. It’s about how humans interpret the words. In other words, swearing is a textbook example of a social construct.
Thoughtfully consider this paradox: humankind invented language to communicate with one another. Then it decided that certain words shouldn’t be uttered. That's funny.
This post is not intended to argue that society should proliferate the practice of swearing (though I will note that study after study provides limited evidence into benefits and good outcomes for those who curse).
Rather, the thought to write this post came from Taylor Swift and her 12th studio album: Life of a Showgirl.
I shall not provide my wide range of feelings about the album (the album’s title song — which features Sabrina Carpenter — is its best, directly followed by “The Fate of Ophelia”).
What first stuck out to me about The Life of a Showgirl was the number of explicit tracks. Of the album’s 12 tracks, eight of them — good enough for 67% — are marked explicit, according to Apple Music. As I was comparing this album to Swift’s previous music, it got me thinking: is Taylor Swift cursing more? If so, is it just Taylor? Or is society actually swearing more frequently?
Analysis
Since 2006, Swift has released twelve studio albums; five of them have been released in this decade. She also re-recorded four of her early albums: Fearless, Red, Speak Now, and 1989. Diehard Swift fans (you can count me in that group) — known colloquially as Swifties — know that Swift included additional new music alongside her re-recorded albums.
Using the R programming language, I reviewed all of Taylor Swift’s lyrics — ignoring duplicates from the re-recorded versions — to determine how many explicit words appear in her tracks.
Sidenote: I always make my code and the associated dataset available upon request. Contact me for more information.
As I started programming, I spent significant energy trying to define which words would be swear words.
Sidenote: Remember earlier when I asked who earns the right to suggest what is and isn't a swear word? In this analysis, it was me! If you would've included other words, write your own damn study.
I decided upon the following: fuck, fucking, shit, dick, dickhead, bitch, and goddamn.

So, is Taylor Swift actually cursing more? Yes. Even a cursory lyrical analysis suggests that Swift is using more swear words over time.
It looks as if Swift decided that the pandemic was the appropriate time to start swearing. Welcome to the club, Taylor! (said as someone who joined the club years prior to the 2020 madness).

What does this tell us about the country?
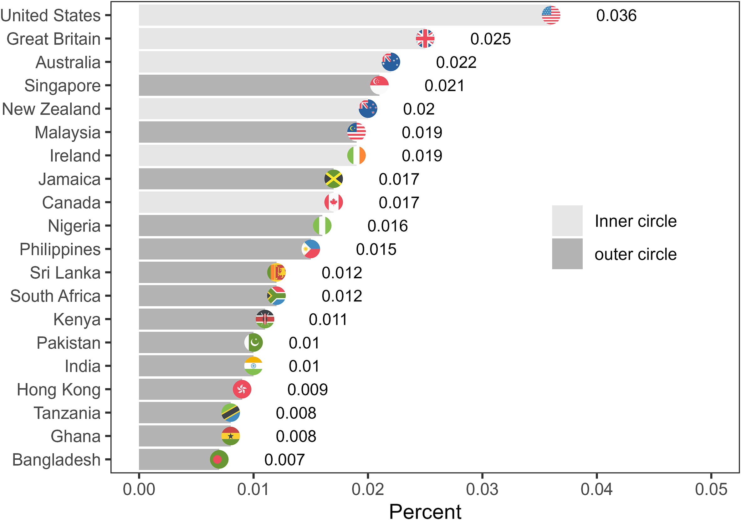
Is this isolated to Swift? Not really! In fact, a recent study from two Australian researchers suggests Americans use more swear words than other countries. It wasn’t all that close; the United Kingdom found themselves one spot behind, in case you’re curious.


Academics have also suggested that swearing has become more socially acceptable. Perhaps this is why we see more American politicians openly using profanity without much apology. Tom Nichols of The Atlantic recently published an interesting article about the behavior.
While swearing is not a partisan issue (the Left swears plenty), it is perhaps an explanation for why the chant “Let’s Go, Brandon” drew popular fame among conservatives (the chant — a euphemism for “Fuck Joe Biden” — mocked a reporter who suggested fans at a NASCAR race were chanting “Let’s Go, Brandon,” rather than “Fuck Joe Biden.”). The footage immediately went viral, and it was repeated by notable conservative commentators.
As the country starts to curse more, I cannot help but imagine that it’s possible the feelings toward certain words may change. There are positives and negatives to this. Generally, it does seem that people are more comfortable using swear words in situations where previously they wouldn’t (work, for example).
Is this a good thing? Unsure. What I do know is this: we tend to teach young people and students that swearing is always inappropriate. It might be better to shift toward teaching students when it is okay and not okay to curse; for example — and I say this only half jokingly — one can distinguish between "Fuck me" and "Fuck you" (one cursing at yourself, while another directing it toward another person). And perhaps politicians could play a role in this teaching by minimizing their use of swear words to their conversations with family, close friends, and staff.
Until then, I look forward to listening to more of Swift’s music — explicit or not.